Nach Untersuchungen von Campling et al. [1] haben viele Lungenkrebserkrankte spontan vor der Diagnosestellung mit dem Rauchen aufgehört, und das, bevor sie klinische Symptome aufwiesen. Es wird vermutet, dass bestimmte Lungenkarzinome Substanzen produzieren, die die Nikotinwirkung verändern und eine Nikotinabstinenz begünstigen. Die Hypothese, dass spontane Nikotinabstinenz ein Indikator für eine Lungenkrebserkrankung sein könnte, ist mit Daten des EKN untersucht worden. Dazu wurden für Männer die Zeitspannen von einem Rauchstopp bis zur Diagnosestellung eines Lungenkrebses (ICD-10 C34) mit denen von Darmkrebs (C18-20) bzw. Prostatakrebs (C61) verglichen. Für Lungenkrebs erfolgten des Weiteren Vergleiche zwischen den Geschlechtern und zwischen verschiedenen Histologiegruppen.
Ausgewertet wurden Primärtumoren der Diagnosejahre 1996 bis 2006, für die ein Patientenfragebogen mit Angaben zum Rauchstatus (Nichtraucher, Raucher, Ex-Raucher seit …) vorlagen. Ausgewählt wurden Ex-Raucherinnen und -Raucher, die im Jahr vor der Diagnosestellung oder früher mit dem Rauchen aufgehört haben. Die Zeitintervalle zwischen Rauchstopp und Krebsdiagnose wurden mit der Kaplan-Meier-Methode (Ereigniszeitanalyse mit dem Ereignis Krebsdiagnose und der Zeit als Jahre zwischen Nikotinabstinenz und Diagnose) dargestellt und verglichen. Unterschiede zwischen den Gruppen wurden mit dem Log-Rang-Test überprüft (Irrtumswahrscheinlichkeit = 5%).
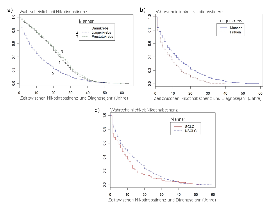
Von 3.040 Lungenkrebspatientinnen und -patienten mit Angaben zum Rauchstatus waren 33,0% Raucher/ -innen, 13,5% Nichtraucher/-innen und 53,5% Ex-Raucher/-innen. Für die Zeitintervallvergleiche bei Ex-Rauchern wurden die Daten von 842 männlichen Lungenkrebspatienten mit denen von 1.634 männlichen Darmkrebspatienten und 1.981 Prostatakrebspatienten verglichen. Das mediane Alter zum Diagnosezeitpunkt lag bei 68 Jahren für Lungenkrebs, 67 für Darmkrebs und 69 für Prostatakrebs. Der Anteil der Patienten, die mit dem Rauchen 1-2 Jahre vor der Krebsdiagnose aufgehört haben, lag bei Lungenkrebs mit 22,0% wesentlich höher als bei Darmkrebs bzw. Prostatakrebs mit 6,2% bzw. 4,5%. Das zeigt sich auch in signifikant unterschiedlichen Verläufen der Kaplan-Meier-Kurven (siehe Abbildung 1).
Für den Geschlechter- und Histologiegruppenvergleich bei Lungenkrebspatienten wurden zusätzlich die Daten von 134 Frauen mit ausgewertet. Die Frauen waren im Median 65 Jahre alt, die Männer 68. Der Anteil der Erkrankten, die mit dem Rauchen 1-2 Jahre vor der Krebsdiagnose aufgehört haben, betrug für Männer 22% und für Frauen 31%. Für kleinzellige Lungenkarzinome lag der Anteil bei 32,5%, für nicht-kleinzellige Lungentumoren bei 20,8% (für beide Geschlechter zusammen). Die Kaplan-Meier-Kurven zeigen signifikante Unterschiede zwischen den Geschlechtern (Männer vs. Frauen, p<0,001) bzw. zwischen Histologiegruppen (kleinzellige vs. nicht-kleinzellige Tumoren, p=0,001).
Die Untersuchungen stützen die These, dass Personen mit Lungenkrebs häufiger in den Jahren kurz vor der Diagnose mit dem Rauchen aufhören als Personen mit anderen Krebserkrankungen (Prostata-, Darmkrebs). Diese Beobachtung gilt für beide Geschlechter, ist aber auch abhängig vom Histologietyp.
Die Untersuchungen wurden auf der Jahrestagung der Deutschen Gesellschaft für Epidemiologie (DGEpi) im September 2011 in Mainz vorgestellt.
[1] Campling BG, Collins BN, Algazy, KM, Schnoll RA, Lam M: Spontaneous Smoking Cessation Before Lung Cancer Diagnosis. Journal of Thoracic Oncology, 6 (3): 517-524, 2011